銷售熱線:136-5192-3355

連山變幽晦,綠水函晏溫。
— 出自唐·柳宗元《飲酒》
江城回綠水,花月使人迷。
— 出自唐·李白《襄陽曲四首》
青苔寺里無馬跡,綠水橋邊多酒樓。
— 出自唐·杜牧《潤州二首》
“綠水”是古今文人騷客慣用的經典意象**,多用來形容山水美景。
有一種綠水,由淡水水體中藍藻、綠藻、硅藻等大量繁殖引起,名為水華現象。而其中的藍藻會產生一種天然毒素 — 微囊藻毒素(以下簡稱 MC),它具有肝毒性,可能引發腫瘤。不小心誤飲此水,將嚴重威脅人體健康。
微囊藻毒素法規變遷
飲用水如**暴露于微囊藻毒素下將會對人體健康造成極大威脅,這促使**衛生組織(WHO)發布了 1 μg/L 的臨時指南,以作為飲用水中微囊藻毒素-LG(游離加細胞結合)的*大濃度限值,并且許多**地方政府直接采用了這一準則值。
隨著近幾年分析技術的不斷**,飲用水安全意識的不斷加強,一些地區出臺了極為嚴格的微囊藻毒素監管標準,尤其是城市供水系統,微囊藻毒素 RR 和 LR 的檢出限均達到了 pg/ml 的濃度級別。
MC 的傳統分析方法是采用 HPLC 進行紫外檢測,面對如此嚴格的監管標準,雖然可以通過前處理的富集達到相應的檢測濃度水平,但富集過程帶來的操作誤差和人工成本不能忽視。如果采用常規質譜或串聯質譜直接進樣的方式,pg/ml 濃度級別的檢出限會給分析方法帶來極大挑戰。在這種情況下,針對低濃度檢測,On-lineSPE 與質譜的聯用系統脫穎而出。
安捷倫微囊藻毒素分析方法
安捷倫分別基于 On-line SPE – LC/QQQ 與直接進樣,成功開發了微囊藻毒素(包括 MC-RR,MC-HtyR,MC-LR,MC-HilR, MC-LA 和 MC-LF)的簡單且靈敏的分析方法,這兩種方法均能滿足現今標準要求。
且通過兩種實驗對比得到,On-line SPE 方法不僅省去了耗時且費力的離線 SPE 萃取步驟,其靈敏度還提高了 100 倍以上,可作為未來微囊藻毒素檢測的補充手段。
目標化合物
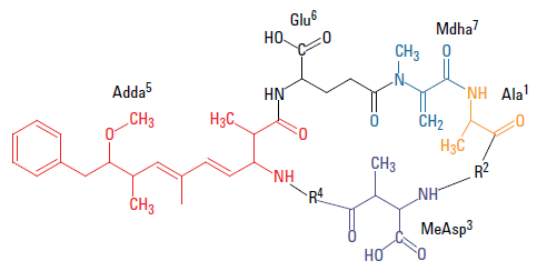
MC 是環肽,一般結構是環 [-D-Ala-R2-D-MeAsp-R4-Adda-D-Glu-Mdha-] ,其中 R2 和 R4 是可變的 L-氨基酸(圖 1 和表 1) 。由于擁有兩種可變氨基酸其它氨基酸的甲基化/去甲基化,因此存在多種微囊藻毒素化合物,目前為止已鑒出超過 80 種微囊藻毒素。在本實驗中,選擇其中 6 種*流行的 MC 作為目標化合物。
圖 1. 微囊藻毒素的分子結構式
表 1. 微囊藻毒素的相關信息
實驗方法
On-line SPE 富集和洗脫時閥的位置、On-line SPE – LC/QQQ 方法和直接進樣方法的色譜條件、質譜條件如圖 2 和表 2-4 所示。
圖 2. On-line SPE 富集和洗脫的閥位置
表 2. 直接進樣 LC 采集方法
表 3. On-Line SPE 進樣 LC 采集方法
表4. 質譜采集方法
分離效果:
圖 3 顯示了 On-line SPE – LC/QQQ 方法和直接進樣方法進行 MCs 分析所得到的 MRM 色譜圖,[M + 2H] 2+ 被選為 MC-RR 的前體離子,而 [M + H] + 被用作其它 MCs 的前體離子,Agilent Optimizer 軟件對每個離子均進行了參數優化并提供*佳靈敏度。

圖 3. 直接進樣 100 ng/ml(上圖)和 On-line SPE 2 ng/ml(下圖)的 MRM 色譜圖
線性、定量限和檢出限數據:
采用直接進樣法,MC-RR 在10 pg/ml - 100 ng/ml 范圍內觀察到良好的檢測器響應線性:
而使用 On-line SPE 方法:
1. MC-RR 的線性范圍為 0.2 pg/ml -2 ng/ml由此可得到,On-line SPE 方法可得到更低的定量限和檢出限。
表 5. 兩種進樣方法的定量限和檢測限
分別在中國四川省成都市區周邊收集了三個地表水樣本,通過 On-line SPE 方法分析得到一個陽性樣本。重要的是,陽性樣品只能通過 On-line SPE 方法量,因為其濃度水平很低。而對于所有測試的 MCs,具有 10μL 進樣體積的直接進樣方法均未能達到檢測限而被檢出。
表 7. 實際樣品的 MCs 檢測結果(ND =未檢測到)
小結
本文建立了用于定量測定微囊藻毒素(MCs)的簡單且靈敏的方法。使用 Agilent 6470 三重四極桿系統,建立并比較了直接進樣和 On-line SPE 方法。通過對比得到,直接進樣方法獲得的 LOQ 明顯低于 WHO 為 MC-LR 濃度確定的臨時指南值。對于地表飲用水,具有更低 LOQ 的 On-line SPE 方法可滿足*近公布的嚴格的區域供水系統指導值。在實際樣品測試中,MC-RR 和其它微囊藻毒素可從一個地表水樣本中檢測到,且由于其濃度水平較低,只能通過 On-line SPE 方法進行定量。
文章來源:安捷倫視界